大人の電子工作 <<
バイノーラル・ビートの原理と実験
「バイノーラル・ビート」をネット検索すると、ヒーリングや潜在意識や瞑想や洗脳や幽体離脱まで、かなり怪しげなワードに出くわします。ここでは、その怪しげなバイノーラル・ビートについてちょっと深掘りして行きます。
バイノーラル・ビートに入る前に、まずはビートbeats(うなり)という物理現象について
ビート(うなり)現象の原理
ビート(うなり)とは、少し異なる周波数の2つの正弦波は合成すると干渉作用によりその周波数差の強度(振幅)変動が生じる現象現象です。例えば500Hzの正弦波と510Hzの正弦波を合成するとその差分の周波数10Hzの強度変動が生じるということです。こらは音に限らず全ての波動に生じる基本的な物理現象です。

この現象の発生原理を言葉で説明するのはとてもややこしいですが、数学的には三角関数の和積公式を用いて簡単に説明できます。角速度(角周波数)ω1とω2の正弦波を合成(時間ドメインでの加算)しますと。

ω1とω2の中間角周波数ω0のキャリア(定常正弦波)が角周波数差/2=ωbで振幅変調されるということがわかります。この振幅変調成分がビート成分ということです。
ついでに別解です(参考まで)
三角関数の加法定理を用いても同様に説明できます。

もちろ前の和積公式を用いた場合と結果は同じです。
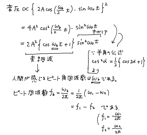
聴こえるのは音圧
上の2つの結果はちょっと疑問が残ります。それはビート角周波数が合成前の2つの正弦波の角周波数の差では無く差の1/2になっていることです。これは人間の聴覚は振幅変動をそのまま聴いているのではなく、音圧変動を知覚しているからです。音圧はつまりパワーなんで振幅の2乗に比例します。よって下の式のようになります。

このように2つの正弦波が合成(加算)されると、その周波数差の強度変動を人間はうなり(ビート)として聴覚される訳です。
注)計算式をシンプルにするため途中式では全て周波数f(Hz)ではなく角周波数ω(1/rad)を用いています。角周波数ω(1/rad)を2πで割れば周波数f(Hz)となりす。
電気的に正弦波を合成してビートを生成
実際に800Hzと820Hzの正弦波を電気的に合成した波形です。
![]()
10Hzの振幅変動(変調波)が観測されます。
いよいよバイノーラル・ビートについてです。
バイノーラル・ビートとは
まずはバイノーラル(Binaural)とは何かというと、広義的にはには「両耳の」という意味で、狭義的には「ステレオヘッドホーン再生の」というような意味です。つまりバイノーラル・ビート(Binaural beats)とは「両耳によるビート(うなり)現象」さらに詳しくは「ステレオヘッドホーン再生を用いたビート(うなり)現象」という感じでしようか。
スピーカーとヘッドホーンの違い
スピーカーでのビートとヘッドホーンでのビート(バイノーラルビート)とは大きく異なります。

スピーカーでは空間において音響的にビートが発生しますが、ヘッドホーンでは脳内において生理的(脳内信号処理的)にビートが発生します。ここが大きな違いです。
(次回投稿に続く)
投稿:2017/6/8
追記:2018/3/23
