電子回路メモ書き <<
RC回路の連続パルス応答のまとめ
RC回路へ連続パルスを与えた場合の定常状態を考える
RC積分回路やRC微分回路の時定数に対して十分に長い周期の連続パルス電圧を入力した場合の出力電圧波形は、その立上がり、立下りに、それぞれのステップ応答を適応すれば容易に理解できますが、回路の時定数に対して短い周期(高い周波数)の連続パルスが入力された場合の出力波形(振幅値)の定量的理解は意外に分かり難いです。
また、RC積分回路やRC微分回路のステップ応答に関する解説は、いろんな文献に書いてあるんですが、連続パルスをそれら回路に入力した時に、その出力振幅はどうなの?という問いへの納得できる解説が見あたらなかったので計算してみました。
RC積分回路
下図のようにRC積分回路に連続パルス(矩形波)電圧Viを入力し、出力電圧Voを考察する。

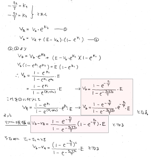
連続パルスが入力されて十分な時間が経過後の定常状態での出力電圧を考える。

RC微分回路
下図のようにRC微分回路に連続パルス(矩形波)電圧Viを入力し、出力電圧Voを考察する。

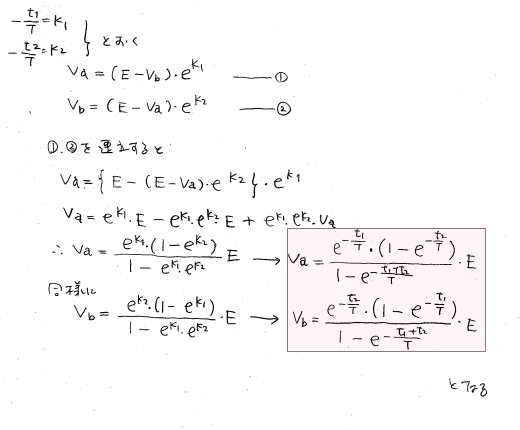
連続パルスが入力されて十分な時間が経過後の定常状態での出力電圧を考える。

投稿:2006/5/27
