電子回路メモ書き <<
ブロッキング発振回路の動作原理
ブロッキング発振回路(ブロッキングオシレーター)とは何か
とてもシンプルな昇圧回路
コイル(トランス)とトランジスタと抵抗器だけで形成されるとてもシンプルな発振回路です。
簡易な昇圧回路(電圧を大きくする回路)として使用される場合が多いです。

乾電池1つでも青色高輝度LED点灯可能です。
ジュールシーフという別名を持つLED点灯回路
高輝度LED(発光ダイオード)の普及により、乾電池1つでLEDを点灯させるとても簡単な回路方式の1つとして、電子工作系雑誌やサイト等で、ブロッキング発振回路をよく見かけるようになりました。最近ではジュールシーフ(Joule Thief)と言う別名まであるようです。これはJoule(エネルギーの単位)とThief(泥棒)ということから電池のエネルギーを盗み取る(とことん使い切る)という意味からきているようです。
補足説明
LED(発光ダイオード)はフィラメント式豆電球とは異なり、ある一定の電圧(順方向電圧VF)値以上を印加しないと電流が流れません。つまり単純に電池の出力を電流制限用抵抗器を介してLEDに接続しただけですと電池が消耗すると電流が流れなくなり電池を十分に使い切ることが出来ません。また青色や白色LEDの順方向電圧VFは3.5V程度ですので乾電池(電圧1.2〜1.5V)1個では点灯させることは出来ません。そこでこのブロッキング発振回路等の回路工夫(昇圧回路)が必要となるのです。
補足説明
増幅回路で時々問題となるブロッキング発振現象(断続型寄生発振現象)と、ここで取り上げているブロッキング発振回路とは直接的関係はありません。
回路構成はこんな感じ
ブロッキング発振回路出力に負荷として470Ωの抵抗を介してLEDを接続しています。

コイルL1とL2はトランス結合されています。
コイル端子の丸印はコイル巻き始め(コイルの極性)を意味しています。
ちなみにコイルL1とL2の電源V1の+極に接続されている端子を中点とした中間タップ付きコイル(トランス)と考えても全く同じことです。
とりあえずSPICEで動かしてみると。

青色グラフは出力電圧(Q1のコレクタ電圧)波形です。
緑色グラフはコイルL1の電流波形です。
起動後約10usec経過後に約120KHzの定常発振となります。
実は上の回路の定数は全く適当です。ある程度常識的な定数であれば働くというのもブロッキング発振回路の大きな特徴の1つです。
実はとても古くからある回路
高輝度LEDの普及と共に電子工作系のサイトや雑誌でよく見かけるようになったブロッキング発振回路ですが、実はこの回路はとても古くからあったものです。僕が子供時代(もう数十年も昔)の愛読雑誌『初歩のラジオ』(誠文堂新光社)や『ラジオの製作』(電波新聞社)においても、乾電池で蛍光灯を点灯させる回路や触ると感電するびっくり箱等の製作記事にも採用されていました。
現在の商用利用としては電撃式虫取り器やプラズマボール(イルミネーション)や使い捨てカメラのフラッシュ回路や警報ブザー回路などなど電池駆動の様々な器具でまだまだ現役活躍中です。このように昔からそして今でも活躍中の回路なんですが、元々の考案者(発明者)は諸説あるもののその真相は不明のようです。また動作メカニズムを誤魔化すことなくちゃんと説明している文献やサイトも殆ど見つけられません。
ブロッキング発振回路とその特徴
ここでブロッキング発振回路の特徴をまとめておきます。
- 基本的な部品はトランジスタとコイルと抵抗器だけ。
- 回路構成がとても簡単。
- 各部品のパラメータ自由度が大きい。
- 電源電圧の自由度が大きいい。
- 周波数安定性は低い。
- 動作に温度の影響を受ける。
- トランス出力なので昇圧回路に好適。
- トランス出力なのでコイル追加で多出力化も可能。
- 適当設計でもそれなりに動作する
- そこそこ効率がいい。
つまり周波数安定性が不要で効率はそこそこでよくて出来るだけ安価に抑えたい昇圧回路(電池から高電圧を生成する回路)用途には最適な回路方式と思います。発振周波数や出力電圧、電流の精度(安定性)が必要な用途には全く向きません。
ブロッキング発振回路の動作原理
このように昔からそして今でも活躍中のブロッキング発振回路なんですが、なぜか不思議なことに、その動作やメカニズムをきちんと詳しく説明しているサイトや文献を見つけることが出来ませんでした。そこで、ここではできるだけ大胆かつ丁寧にブロッキング発振回路の動作やメカニズムを説明して行きたいと思います。
ブロッキング発振回路は弛張型自励発振回路の1つ
ブロッキング発振回路をトランジスタの増幅作用を用いた帰還型(フィードバック型)発振回路として説明されている場合が多いですが、それだと、どうしても適当に誤魔化さないとうまく説明できないように思います。ここではトランジスタを電流制限付き(有限電流)スイッチ素子と考え、それを用いた弛張型発振回路(Relaxation oscillator)として考察して行きます。その方がずっと分り易いです。
まずは弛張(しかん)型発振回路の理解のためには下のイラストのような日本庭園によくある『鹿威し(ししおどし)』がとても役に立ちます。

イラスト元:http://nobuiy.at.webry.info/200909/article_13.html
鹿威しの動作原理はまさに見たままで、流れて来る水を竹筒で一旦蓄え、その蓄積量が一定量を超えると、蓄えた水を一挙に全て放出します。そしてその行為を繰り返すことにより一定周期の動きと音を継続させています。ブロッキング発振回路もこれととても似ています。
コイルに電流を溜める
ブロッキング発振回路において、上の鹿威しの水流に相当するのが電流、竹筒に相当するのがコイルです。つまりコイルに電流を蓄えるというのが大きなミソになるわけです。ちょっと分かりづらいのは電気エネルギーを電圧として蓄えるのではなく、電流として蓄えるという点です。(ちなみに電池やコンデンサは電圧として蓄えています。)
コイルに蓄えられる量は
鹿威しから推測するとコイルに蓄えられる量によって繰り返し周期(つまり発振周波数)が決まり。また蓄えられる量はコイルの大きさつまりインダクタンスに起因していることは容易に予想がつきますが、単純にそれだけではありません。それにはトランジスタの特性が大きく係わっているからです。
バイポータトランジスタによるスイッチ回路とコイルの関係
ブロッキング発振回路の基本動作の理解のために下にバイポータトランジスタとコイルによる簡単なスイッチング回路の動作シミュレーション結果(LTSpice)を示しておきます。

コイルL1とL2はトランス結合しています。
入力sigにステップ信号を入力した場合の各ポイントでの電圧、電流波形は下グラフのようになります。
パラメータとしてトランジスタのベースに挿入している抵抗R1を10K、20K、40KΩと変化させています。

赤:40KΩ 青:20KΩ 緑:10KΩ
ステップ信号が入力されトランジスタQ1はオンします。するとQ1のコレクタに接続されたコイルL1に電流が流れる訳ですが、コイルの特性から電流は積分値となります。この場合は定電圧印加なので直線的にコイル電流が増えて行く(コイルに充電されて行く)ことになります。コイルはずっとこの調子で電流を増やして行きたいのですが、トランジスタQ1の都合でそうは行かなくなるのです。それはベース電流にトランジスタ固有の電流増幅率hFEを掛け算した値以上のコレクタ電流を流すことが出来ないというトランジスタの根本的特性から来る都合なのです。上グラフのようにベース抵抗R1を小さくした方がより多くのベース電流を流すことが出来るので結果としてコレクタ電流つまりコイル電流I(L1)もその分多く(長く)流すことが出来るのです。
次にトランスの基本特性を考えます。トランスは電磁誘導作用により1次コイルL1から2次コイルL2にエネルギーを伝達する訳ですが、電磁誘導は磁束の変化がなければ作用しません。つまりコイルL1の電流変化(電流の増大)が止まれば、上のグラフからも分かるようにコイルL2の起電圧は無くなります。これにより有限時間の充電プロセスが生成されるわけです。
このようにトランジスタの特性とコイル(トランス)の特性とのコラボレーションにより生成される有限時間の充電プロセスと何らかの放電プロセスを繰り返すことによりブロッキング発振回路が成立しています。これがブロッキング発振回路の動作を理解する上ではとても重要なことです。
補足説明
上のグラフでトランス出力電圧がボヨヨ〜ンと振動しているのはコイル(インダクタンス)とトランジスタ内部の各種寄生キャパシタンスとが共振しているからです。よって全く気にしないでください。
ブロッキング発振回路の詳細な動作説明
ブロッキング発振回路の動作の詳細を説明するのに言葉だけではどうしても限界があります。ここからは各ポイントの動作電圧や動作電流、そして発振周期(周波数)を導出しながら説明して行きます。
ブロッキング発振回路の動作説明
下図のように各点での電圧値および電流値を考えます(基本的には時間の関数となります)

コイルL1とL2はトランスを形成
巻数比1で結合係数1の理想トランスと考える。

バイポーラトランジスタは単純化
下の3つのパラメータのおみでトランジスタTrを定義する。
また各パラメータは独立な定数と考える。

回路図からの基本的な電圧関係式
上記回路図から下の関係式が容易に導出できる。

コイルの相対極性とトランジスタのスイッチング
コイルの端子にある丸印は実はとても重要です。これはコイルの巻き始め(別に巻き終わりでもいい)を表しており、つまりコイルの相対的な極性を表現しています。上の回路において、電流の向きで言いますと、コイルL1の丸印端子に電流が入り込む場合、コイルL2の丸印から流れ出る方向に電流が流れます。つまりトランジスタがオンしてコイルL2に流れる電流が増大すると、コイルL2から、トランジスタを更に強くオンさせる方向にベース電流が流れるのです。逆の方向の場合は、この逆の作用となります。これによりブロッキング発振回路では下図の2つの明確な動作ステージ(状態)を持ち、またそのステージの急遽な切替(スイッチング動作)を可能としています。
動作波形の動作ステージ
定常発振状態時での各電圧、電流波形はこんな感じになるはず。

ここでのポイントはTr=オン期間つまりコイルに電流を蓄える充電ステージ(T)とTr=オフ期間つまりコイルに蓄えた電流を負荷(抵抗RcとLED)に放電するステージ(U)の全く動作が異なる2つのステージ(プロセス)が交互に繰り返されている点にあります。
(T)Tr=オン期間(充電プロセス)を考える
電源が投入(電圧が印加)されある程度時間経過するとコイルL2および抵抗Rbを介しトランジスタTrに十分なベース電流が流されるとトランジスタがオンになる。
仮にそのオンが継続する時間をT1とし、T1期間に充電される電流値(T1期間終了時の電流値)をIcとする。

上記ではコイルの立場からコイルに蓄えられる電流値Icを考えましたが、
次にトランジスタTrの都合からの電流値Icの限界を考えます。


このようにコイルに蓄積出来る有限電流値Icおよび有限時間T1が生成される。
(U)Tr=オフ期間(放電プロセス)を考える
上で導出した時間T1が経過するとコイル電流の増大はなくなる(一定値となる)。これより電磁誘導によるL2の起電が無くなりトランジスタTrへのベース電流の供給は停止し、直ちにトランジスタTrはオフします。
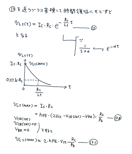
ここでは微分方程式解法簡単化のためラプラス演算子およびラプラス変換を用います。



(補足)上記式よりトランジスタをオフした瞬間にコイルに起電する電圧は負荷抵抗Rcに比例する。つまりRcを無接続(抵抗値∞)の場合は非常にお大きな電圧が発生(実際はトランジスタの降伏により制限された電圧)し、トランジスタを破損する可能性があるので注意が必要です。
次にトランジスタTrがオンする、つまりオフ期間T2(放電プロセス)が終了する条件を考えます。



このように有限のオフ期間T2が生成されます。そして再びオン期間(充電プロセス)に移行し、この交代をひたすら繰り返します。これがブロッキング発振回路のメカニズムです。
最後に発振周期(発振周波数)を導出しておきます。

検証実験
上述の導出式が正しいかどうかの検証実験(測定実験)を行いました。


実験回路図

<実験諸条件>
Vcc=4V L1=L2=440uH Rb=22KΩ Rc=510Ω TrのhFE=150(簡易測定値)
実験結果

CH1(Yellow):トランジスタTrのコレクタ電圧
CH4(Blue):コイルL1に流れる電流(50mA/DIV)
導出式の検証
実験諸条件Vcc=4V L1=L2=440uH Rb=22KΩ Rc=510Ω TrのhFE=150(簡易測定値)を各導出式に代入してみます。(TrのVCE(sat)=0 VBE=0とした簡易式でざっくりと計算です)
- (9)式よりコイルにチャージされる電流値Ic=150*2*4/22e3=54.5mA
- (11)式よりトランジスタON時間T1=150*2*440e(-6)/22e3=6.0usec.
- (13c)式よりトランジスタOFF時にコイルに起電するピーク電圧VL1=2*150*4*510/22e3=27.8V
- (21)式よりトランジスタOFF時間T2=(440e(-6)/510)ln(2*150*510/22e3)=1.67usec.
- (22)式より発振周期T=6.0+1.67=7.67usec.
- 周期Tの逆数より発振周波数f=130.3KHz
この計算結果と上の実験結果(波形)から上記導出式は概ね正しいことが確認できました。
ブロッキング発振回路の特徴(追記)
前の方にもブロッキング発振回路の特徴をまとめましたが、ここでもちょっと追記しておきます。
上の導出式から分かるようにブロッキング発振回路の各動作特性をトランジスタのパラメータ(特にhFE)に大きく影響されます。またトランジスタのパラメータは決して固定値ではなくトランジスタの動作条件や温度によって大きく変わります。したがって上記導出式で求められる各値はあくまでも参考値程度でしかありません。また正確な動作特性(周波数や出力電圧、電流など)が必要な用途にはブロッキング発振回路は全く向きません。適当に発振してくれればOKという簡易な昇圧回路など向けと思います。
ブロッキング発振回路はLEDドライブ回路として最適なのか(蛇足その1)
このように動作パラメータの同定が難いこと、効率はさほど良くないことなどから、あくまでもホビー回路向けと思います。半導体メーカーから販売されていますスイッチング式電流駆動タイプのLEDドライブ専用IC等を用いた方が効率が良く、また信頼性も高いと思います。
トランジスタにコンデンサを付加する(蛇足その2)
トランジスタのベースにコンデンサを追加(ベース抵抗Rbにコンデンサをパラ接続)している回路でこの追加したコンデンンサとコイルとのLC共振で発振していると説明されているページも見かけますが、それは誤りです。このコンデンサは単なるリアクタンス(交流に対する抵抗)として働いているだけです。適切なコンデンサの追加によりある程度の動作ポイントを調整(発振可能な電源範囲拡大、効率向上など)が可能です(多くの場合カットアンドトライです)。
摩訶不思議なブロッキング発振回路(蛇足その3)
ブロッキング発振回路の動作がやや分かりずらいことからか、勘違いからか、ブロッキング発振回路を少し変形(応用)して超効率(つまり永久機関)を実現したとある記事があったりします。まさかとは思うのですが、時間あるときに素直な気持ちで、それらを検証してみたいと考えています。
サイト内参考リンク(ブロッキング発振回路を用いた市販品の分解記事)
投稿:2015/8/7
更新:2015/9/9
(鹿威しの写真をGIFイラストに変更)
